首页 >> 农村科苑 >>农村科苑 >> 毒性堪比砒霜!一种正大量上市的瓜,一旦发苦赶紧吐掉
详细内容

毒性堪比砒霜!一种正大量上市的瓜,一旦发苦赶紧吐掉

点进来的朋友,今天的餐桌上是不是就有葫芦瓜、丝瓜、黄瓜……



图片来源:站酷海洛二创



最近是吃瓜类蔬菜的季节,但注意:吃到发苦的,赶紧吐掉,一口都别多吃。


每年夏天都有「误食发苦的葫芦瓜、丝瓜中毒」的案例,今年也不例外。


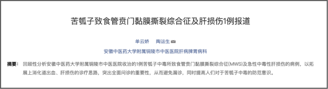
今年👇


图片来源:微博新闻



去年👇


图片来源:微博新闻



它们到底毒在哪,怎么避免?转发给家人,一起往下看——





一盘发苦的瓠子

可能比砒霜还毒



瓠(hù)子、丝瓜、葫芦等蔬菜,都属于葫芦科(Cucurbitaceae)植物。它们在特殊条件下会产生一类发苦的高毒性物质:葫芦素(cucurbitacin)。




瓠子一般长这样👆,不过除了短胖、瘦长的,还有球型和葫芦型。图片来源:站酷海洛



它在人体内会产生较强的细胞毒性,中毒症状在进食后 10 分钟 到 2 小时便会出现。包括上吐下泻、消化道出血、肝肾功能损害、毛发脱落等,严重时甚至会导致死亡。


而且葫芦素是一大类化合物,目前已知的葫芦素有 20 多种,毒性有强有弱,其中葫芦素 C、D、E、I 均有致死案例。



葫芦素 D 的结构  

图片来源:参考文献



我们没办法分辨发苦的瓜里到底是哪种葫芦素,吃到了,就是一次随机赌。运气好的,可能就是有点小不舒服;运气不好的,虽然不是特别常见,但就要进医院了。


尤其是苦瓠子中含有的葫芦素 D,毒性比砒霜还强:


葫芦素 D 的小鼠经口半数致死量低至 5 毫克每千克体重;

砒霜的小鼠经口半数致死量不过是 20 毫克每千克体重。


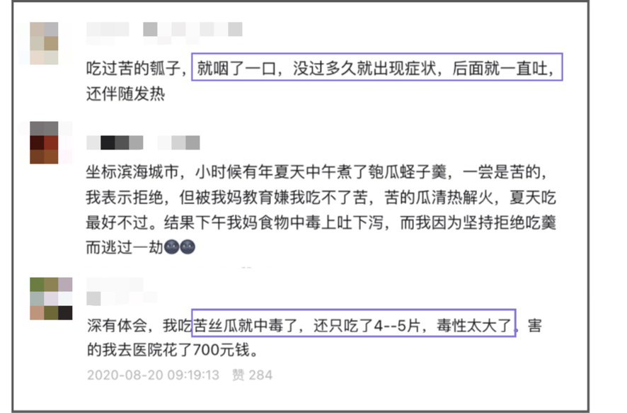
不是吓人,现实案例比我们想的可怕,吃几口就上吐下泻的朋友不在少数。



图片来源:用户留言



甚至出现消化道出血、急性肝损伤:



图片来源:文献



还有人吃了自己种植的瓠子,发现味苦,只是吃了葫芦瓜炖的肉,又用没洗的炒锅炒茄子,食用后也导致中毒。


这提醒我们,如果吃到发苦的版本:


吃到苦的别吞苦,吐苦别含糊;

整盘最好都扔掉,别只挑苦料;

锅碗瓢盆要洗好,不然苦味偷偷跑!





发苦的瓜类蔬果都别吃

吃了没事是万幸



严格来说,葫芦科的蔬菜和水果都要注意。


除了葫芦瓜、丝瓜、黄瓜、冬瓜、西葫芦、西葫芦,水果里的甜瓜、西瓜也是。



图片来源:小🍠



研究表明,发苦的黄瓜果实中就含有葫芦素 C,甜瓜瓜蒂的葫芦素 B 占 80% 以上。


一般葫芦科的蔬菜水果经过人类长期选育,已经很少或不产生葫芦素,没有苦味。


然而存在一些特殊情况:


● 有些植株可能「返祖」,恢复合成葫芦素的能力,例如基因突变、种植条件不佳(如干旱、低温)等;


● 苦味野生植株的花粉「污染」了栽培植株,杂交出来的种子种下去,收获的下一代果实就可能发苦。


不过,人类作为食物链顶端吃货,也不是「白吃素的」,我们对于苦味其实非常敏感。


别犹豫,如果葫芦科蔬菜或水果苦到难以下咽,赶紧吐掉!真的有毒!


可能有朋友曾经吃过发苦的瓜瓜,结果发现自己没啥事。


一方面,同种瓜在不同环境、成熟度下产生的葫芦素种类、含量有差异;另一方面,个体差异普遍存在,身体基础情况不同,出现的中毒程度、表现也不一样。


但一次侥幸,不等于次次幸运,不建议大家用自己和家人的健康来赌。





苦瓜,是唯一的例外



苦瓜也是葫芦科的植物,同样可能产生葫芦素。



图片来源:站酷海洛



但别害怕,苦瓜的苦味来源于两类成分:葫芦素和苦瓜苷。


苦瓜中葫芦素类物质的含量比较少,而苦瓜苷是苦瓜属植物所特有的,因此苦瓜吃起来有温和的苦味,但不至于难以下咽,正常吃不用担心中毒。


但如果觉得苦瓜苦,不好吃,那不吃也没什么。


最后教大家一个提前辨别「苦味」的办法:


做菜前可以先切一小块,用舌头舔舔,如果是苦的,整根都扔掉,都省得下锅了。



转自:丁香医生

seo seo